波恩-奥本海默近似在热 Ag-2 离子的自发电子发射过程中的失效
天津大学量子交叉研究中心的Klavs Hansen教授与瑞典Stockholm 大学、奥地利Innsbruck大学和日本理化学研究所的科研人员合作,在量子非绝热跃迁动力学领域取得重要进展,近期(2020年4月)在物理学顶级期刊《物理评论快报》上发表了题为“Spontaneous Electron Emission from Hot Silver Dimer Anions: Breakdown of the Born-Oppenheimer Approximation”的研究论文。
众所周知,在原子、分子物理领域,以及其它大量的应用领域(如化学、生物以及材料领域中的分子动力学模拟)中,波恩-奥本海默近似非常成功有效。这种近似处理的根据在于:由于原子核的质量远大于电子质量,同时原子核的运动速度也比电子慢很多,于是可将较重的、运动较慢的原子核的运动与较轻的、运动较快的电子的运动分开处理。电子在“静态”核构型下运动,其能级随着核的“位形坐标”而变化,形成势能面。反过来,核的运动(通常处理为经典运动),则由势能面决定。
但是,在某些情况下,波恩-奥本海默近似会失效。最重要的例子是化学反应。在化学反应中,势能面会发生相互交叉。为理解化学反应,人们需要计算势能面之间的相互作用,以及研究势能面之间的相互跃迁,特别是在交叉点附近的“非绝热跃迁”。
除了上述的“非绝热跃迁效应”之外,更加复杂和微妙的是考虑原子核的“量子动力学”运动所带来的非绝热效应。这是近年来世界范围内大量研究人员非常感兴趣的研究热点,也是一个非常困难的问题。
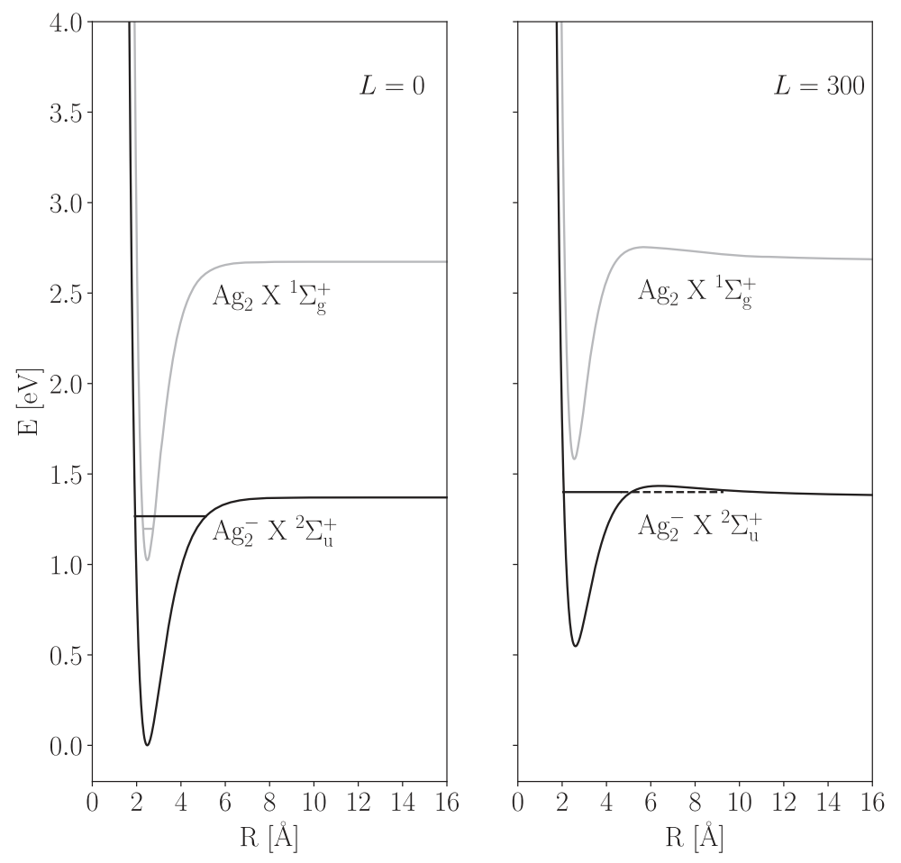
在本文介绍的这项实验研究中,Hansen教授及其合作者利用该领域的先进实验装置(参见图1),精确测量了 Ag¯2 dimer 阴离子发生“碎片化裂解”和“电子发射”后的生成物比例。通对“产物份额”的深入研究发现(参见图2及其说明):
对于高速旋转的 Ag¯2 dimer阴离子,其基态势能面中的高振动态(振动量子数 ν=88)通过量子隧穿穿过由离心势能形成的势垒,可以导致 Ag¯2 发生“碎片化裂解”。
Ag¯2 dimer 阴离子的基态势能面中原子核的量子振动运动,使得其高振动激发态(振动量子数 ν=110)可以通过“电子-振动”耦合(类似于电声子相互作用),跃迁到中性 Ag-2 的基态势能面中(占据其中的低振动量子态 ν=7)。这一跃迁过程,伴随着一个电子的发射。由于该跃迁过程是由核的量子振动运动协助完成的,因此毫无疑义地超越了绝热情况下的波恩-奥本海默近似。
综上所述,本项实验清晰地展示了 Ag¯2 离子中原子核的量子振动所导致的量子非绝热跃迁效应,该效应明显超越了波恩-奥本海默近似的描述范围,是本领域的一项重要进展和成果。
E. K. Anderson, A. F. Schmidt-May, P. K. Najeeb, G. Eklund, K. C. Chartkunchand, S. Rosén, Å. Larson, K. Hansen, H. Cederquist, H. Zettergren, and H. T. Schmidt, Phys. Rev. Lett. 124,173001 (2020).
原文链接:https://journals.aps.org/prl/abstract/10.1103/PhysRevLett.124.173001

图1:实验装置示意图。离子束从入射端口进入静电储存环,并在环内做封闭轨道运动。当多原子团簇(例如本文研究的 Ag¯2 dimer阴离子)发生“碎片化裂解”或“电子发射”之后,电中性的原子(或多原子团簇)由ND检测,带负电的阴离子(或团簇)由相反方向的FD检测。

图2: 对应于Ag2 /Ag¯2 dimer (双原子二聚体)的不同转动角动量的两组势能面曲线( L=0 和 L=300)。黑色实线为 Ag¯2 离子的电子基态势能面曲线,浅灰色实线为中性 Ag2 分子的等效基态势能面曲线。右图:等效基态中的高振动态(振动量子数 ν=88),通过量子隧穿,穿过由离心势能形成的势垒,导致 Ag¯2 dimer“碎片化裂解”。左图:Ag¯2 dimer 的基态势能面中原子核的量子振动运动,使得其高振动激发态(例如 ν=110)可以通过“电子-振动”耦合(类似于电声子相互作用),跃迁到上面中性 Ag2 dimer 的基态势能面中(占据其中的低激发态 ν=7)。这一跃迁过程伴随着一个电子的发射。由于该跃迁过程是由核的量子运动(振动)协助完成的,因此毫无疑义地超越了绝热情况下的波恩-奥本海默近似。